Fájllista
Innen: Hogyankell.hu
Ezen a speciális lapon látható az összes feltöltött fájl.
| Dátum | Név | Bélyegkép | Méret | Feltöltő | Leírás | Változatok |
|---|---|---|---|---|---|---|
| 2012. január 1., 13:44 | Facebook-megosztas-gomb.jpg (fájl) | 3 KB | Hogyankell | Facebook megosztás, like gomb elkészítése, beillesztése | 1 | |
| 2012. január 2., 14:51 | Diet.jpg (fájl) | 48 KB | Bianka | 1 | ||
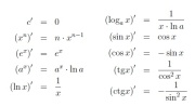
| 2012. január 2., 16:51 | Derivalas.jpg (fájl) | 7 KB | Kiscsillag | Forrás: http://matstat.x3.hu/pdf/oeb_anal_v02.pdf | 1 | |
| 2012. január 2., 16:57 | Derivalas2.jpg (fájl) | 29 KB | Kiscsillag | Forrás: http://matstat.x3.hu/pdf/oeb_anal_v02.pdf | 1 | |
| 2012. január 2., 19:19 | Mezbor-recept-keszites.jpg (fájl) | 14 KB | Hogyankell | Mézbor recept, mézbor készítése képforrás:sxc.hu | 1 | |
| 2012. január 3., 10:27 | Nevadas.jpg (fájl) | 18 KB | Kiscsillag | Forrás: sxc.hu | 1 | |
| 2012. január 3., 19:28 | Spam-elkerules-szures-vedekezes.jpg (fájl) | 14 KB | Hogyankell | Védekezés a spam ellen. Képforrás:sxc.hu | 1 | |
| 2012. január 4., 11:40 | Wordpress-frissites-manualisan.png (fájl) | 68 KB | Hogyankell | wordpress-frissites-manualisan Képforrás:wordpress.org | 1 | |
| 2012. január 4., 14:27 | Tablet.jpg (fájl) | 49 KB | Kiscsillag | Forrás: sxc.hu | 1 | |
| 2012. január 5., 10:20 | Orokbefogadni.jpg (fájl) | 9 KB | Kiscsillag | Forrás: sxc.hu | 1 | |
| 2012. január 5., 14:45 | Ujevi fogadalom.jpg (fájl) | 13 KB | JViki | Forrás: http://www.aimislam.com/new-years-resolution-anybody/ | 1 | |
| 2012. január 5., 20:40 | Vizfogyaszas-csokkentes.jpg (fájl) | 7 KB | Hogyankell | vízfogyasztás csökkentés, vízszámla csökkentés képforrás:sxc.hu | 1 | |
| 2012. január 5., 20:40 | Gazfogyaszas-csokkentes.jpg (fájl) | 48 KB | Hogyankell | gázfogyasztás csökkentés, gázszámla csökkentése képforrás:sxc.hu | 1 | |
| 2012. január 5., 20:42 | Villanyfogyaszas-csokkentes.jpg (fájl) | 15 KB | Hogyankell | villanyszámla, villanyfogyasztás csökkentése képforrás:sxc.hu | 1 | |
| 2012. január 6., 11:13 | Flow.jpg (fájl) | 14 KB | Bianka | 1 | ||
| 2012. január 9., 11:28 | Parasitas.jpg (fájl) | 57 KB | Kiscsillag | Forrás: http://samharrisphoto.wordpress.com/ | 1 | |
| 2012. január 9., 13:41 | Szolokotozo1.jpg (fájl) | 39 KB | Kiscsillag | Forrás: http://szolo.blog.hu/2007/06/24/a_kotozopisztoly | 1 | |
| 2012. január 9., 13:41 | Szolokotozo2.jpg (fájl) | 18 KB | Kiscsillag | Forrás: http://szolo.blog.hu/2007/06/24/a_kotozopisztoly | 1 | |
| 2012. január 9., 13:41 | Szolokotozo3.jpg (fájl) | 18 KB | Kiscsillag | Forrás: http://szolo.blog.hu/2007/06/24/a_kotozopisztoly | 1 | |
| 2012. január 9., 13:42 | Szolokotozo4.jpg (fájl) | 19 KB | Kiscsillag | Forrás: http://szolo.blog.hu/2007/06/24/a_kotozopisztoly | 1 | |
| 2012. január 9., 13:42 | Szolokotozo5.jpg (fájl) | 20 KB | Kiscsillag | Forrás: http://szolo.blog.hu/2007/06/24/a_kotozopisztoly | 1 | |
| 2012. január 9., 16:13 | Kangoo cipo.jpg (fájl) | 21 KB | Andi02 | 1 | ||
| 2012. január 9., 16:13 | Kangoo cipo merettablazat.jpg (fájl) | 26 KB | Andi02 | Forrás: Kangooclub.hu | 1 | |
| 2012. január 9., 16:30 | Vilagvege maja naptar.jpg (fájl) | 46 KB | Kiscsillag | Forrás: http://4.bp.blogspot.com/-bwG9ZuJmsQg/TgaBnFoKZtI/AAAAAAAAA-g/0CSS3PrbKoU/s320/mayan-calendar-cartoon.jpg | 1 | |
| 2012. január 9., 17:34 | Karacsonyi kaktusz.jpg (fájl) | 9 KB | JViki | 2 | ||
| 2012. január 10., 16:56 | Tejbegriz.png (fájl) | 98 KB | Andi02 | Forrás: desszert.eu | 1 | |
| 2012. január 10., 19:49 | Soundbar-hangprojektor.png (fájl) | 81 KB | Hogyankell | soundbar, hangprojektor | 1 | |
| 2012. január 10., 19:50 | Yamaha-soundbar-hangprojektor-terjedes.jpg (fájl) | 13 KB | Hogyankell | soundbar, hangprojektor hang terjedés | 1 | |
| 2012. január 12., 09:03 | Sablonozas1.jpg (fájl) | 24 KB | Kiscsillag | Forrás: http://blog.polifarbe.hu/2011/2/igy-kerul-a-falra | 1 | |
| 2012. január 12., 09:03 | Sablonozas2.jpg (fájl) | 41 KB | Kiscsillag | Forrás: http://blog.polifarbe.hu/2011/2/biztos-siker-sajat-kezuleg | 1 | |
| 2012. január 12., 12:03 | Farsangi fank.jpg (fájl) | 57 KB | JViki | Forrás: http://morguefile.com/archive/display/723601 | 1 | |
| 2012. január 12., 15:05 | Horgasz.jpg (fájl) | 26 KB | Kiscsillag | Forrás: sxc.hu | 1 | |
| 2012. január 13., 10:57 | Felho palackban.jpg (fájl) | 11 KB | Kiscsillag | Forrás: http://weirdsciencekids.com/blog/2010/06/29/cloud-in-a-bottle/ | 1 | |
| 2012. január 13., 12:00 | Konvertalas1.jpg (fájl) | 91 KB | Kiscsillag | Forrás: http://www.docspal.com/ | 1 | |
| 2012. január 13., 12:01 | Konvertalas2.jpg (fájl) | 61 KB | Kiscsillag | Forrás: http://www.docspal.com/ | 1 | |
| 2012. január 13., 12:01 | Konvertalas3.jpg (fájl) | 52 KB | Kiscsillag | Forrás: http://www.docspal.com/ | 1 | |
| 2012. január 13., 12:01 | Konvertalas4.jpg (fájl) | 65 KB | Kiscsillag | Forrás: http://www.docspal.com/ | 1 | |
| 2012. január 16., 15:25 | Bloghu5.jpg (fájl) | 93 KB | Kiscsillag | 1 | ||
| 2012. január 16., 15:25 | Bloghu6.jpg (fájl) | 53 KB | Kiscsillag | 1 | ||
| 2012. január 16., 15:26 | Bloghu9.jpg (fájl) | 78 KB | Kiscsillag | 1 | ||
| 2012. január 16., 15:29 | Bloghu1.jpg (fájl) | 84 KB | Kiscsillag | 2 | ||
| 2012. január 16., 15:31 | Bloghu2.jpg (fájl) | 54 KB | Kiscsillag | 3 | ||
| 2012. január 16., 15:33 | Bloghu3.jpg (fájl) | 78 KB | Kiscsillag | 2 | ||
| 2012. január 16., 15:33 | Bloghu4.jpg (fájl) | 68 KB | Kiscsillag | 2 | ||
| 2012. január 16., 15:36 | Bloghu7.jpg (fájl) | 45 KB | Kiscsillag | 2 | ||
| 2012. január 16., 15:37 | Bloghu8.jpg (fájl) | 77 KB | Kiscsillag | 2 | ||
| 2012. január 16., 15:42 | Blogot inditani.jpg (fájl) | 8 KB | Kiscsillag | Forrás: sxc.hu | 1 | |
| 2012. január 17., 13:07 | Letuzes Internet Explorer1.jpg (fájl) | 81 KB | Kiscsillag | 1 | ||
| 2012. január 17., 13:07 | Letuzes Internet Explorer2.jpg (fájl) | 137 KB | Kiscsillag | 1 | ||
| 2012. január 17., 13:07 | Letuzes Internet Explorer3.jpg (fájl) | 109 KB | Kiscsillag | 1 |



